Всеки градински парцел ще се възползва от изграждането на домашно приготвена оранжерия от пластмасови тръби. Тази конструкция позволява отглеждането на разсад още в началото на пролетта. Може да се използва и за отглеждане на краставици или домати без допълнително отопление в северния климат, където температурите падат значително през нощта и земята се охлажда.
Основният проблем при строителството е цената на материалите и сложността на работата.
Използването на PVC тръби позволява изграждането на издръжлива оранжерия. Не изисква значителни инвестиции. Можете сами да сглобите конструкцията за 1-2 дни.
По-долу можете да прочетете как сами да си построите оранжерия от PVC тръби. Оранжерия, изработена от този материал, следва подобен модел.

- Защо използваме PVC тръби като основа?
- Видове оранжерии
- Размери, диаграми и чертежи на оранжерията
- Как да изчислим количеството материал
- Необходими инструменти
- Изграждане на оранжерия – инструкции стъпка по стъпка:
- Изработване на дървена основа
- Монтаж на PVC тръби и методи за тяхното свързване
- Създаване на рамка
- Покриване и фиксиране на фолиото
Защо използваме PVC тръби като основа?
Доскоро дървото или металът бяха основните материали, използвани за изграждане на рамки за оранжерии. И двата материала имат значителни недостатъци.
Дърво:
- кратък експлоатационен живот;
- ниска якост.
Метал:
- тежко тегло;
- висока цена;
- сложност на работата (необходимо е заваряване, не можете да го направите без асистент).
Дървените конструкции не понасят добре високата влажност, която се наблюдава в оранжерия. Металните рамки са скъпи и ръждясват с времето. Както дървените, така и металните конструкции изискват периодично боядисване.
Пластмасовите водопроводни тръби са се доказали като практически идеален строителен материал. Всеки може сам да си построи PVC оранжерия. Те са издръжливи, устойчиви на слънце и валежи, не изискват боядисване, еластични са и добре запазват формата си. Освен това са много по-евтини от металните. Повечето частни оранжерии са направени от тях.
Работата с метал и дърво изисква умения. Металните конструкции се съединяват чрез заваряване и трябва да се режат с ъглошлайф. Огъването по радиус изисква специални инструменти. Поради теглото на материалите, поне един асистент е задължителен. Не всеки може да се справи сам със заваряването.
Дървото също изисква поне известен опит. То трябва да бъде обработено, за да се предпази от гниене, гъбички и насекоми. Трудно е да се построи оранжерия със сводест покрив от дъски. Точно както при метала, монтажът без асистент е труден.
Но изграждането на оранжерия самостоятелно от пластмасови тръби е лесно и може да се направи от един човек за много кратък период от време. Тези тръби се огъват лесно, без да се чупят.
Просто закрепете единия край към земята, за да поддържате перфектна форма на купола. За свързване са подходящи фитинги като двоен или тройник. За това ще е необходим поялник за тръби или PVC лепило. Скоби и винтове също са опция.
Видове оранжерии
Оранжериите се предлагат в два основни вида: сводести и с плосък покрив. Първите са цилиндър, разрязан по дължина, докато вторите са проста правоъгълна конструкция.
Оранжериите обикновено се използват само за отглеждане на разсад. Затова те се строят ниски, не повече от 1-1,3 метра височина. Отварящите се прозорци позволяват достъп до вътрешността и осигуряват вентилация. Без нея растенията могат да прегреят и да умрат в слънчеви дни.
PVC тръбите не позволяват изграждането на класическа плоска кутия. Гъвкавостта на материала предотвратява това. Следователно, сводестата оранжерия е най-рентабилният и удобен вариант за оранжерия от пластмасови тръби. Тя изисква малко материал, а формата ѝ е подходяща за покриване с пластмасово фолио. PVC оранжерия за краставици може да се сглоби само за няколко часа.
Благодарение на дизайнерските характеристики под формата на полукръгъл свод, той е добре осветен при всяка позиция на слънцето.
Въпреки това е трудно да се монтират отваряеми прозорци в такава конструкция. Затова се прилага различен подход.
Има няколко варианта за решаване на проблема.
- Крайната секция е пригодена за вентилация, където е оставен отвор.
- Мини оранжерия може да се построи с капак на панти. За целта просто изградете дървена основа от четири дъски, върху която се поставя рамка със същия размер, изработена от същия материал. Основата и рамката са свързани в единия край с панти за врата. Като алтернатива, едната страна на оранжерията може да бъде завързана за колове, забити в земята – това ще позволи и капакът да се отваря назад.
- PVC оранжерията може да бъде преносима; лекият ѝ размер ви позволява сами да я повдигнете и преместите на друго място. Това обаче изисква свободно пространство в градината, което обикновено не е проблем през пролетта.
- Полиетиленовото фолио се закрепва с подвижни крепежни елементи или краищата му се поръсват с пръст - това позволява повдигането му отгоре.

Височината се регулира в зависимост от височината на растенията, които се предполага да се отглеждат в нея.
Ако искате сами да построите оранжерия от PVC тръби с рафтове, подобно на опростена оранжерия, тогава височината трябва да бъде избрана така, че човек да може да се движи по централната ос на конструкцията.
В тази зона е изградена пътека, която позволява лесен достъп до всяка част на оранжерията. Оранжерията не е задължително да е висока колкото човек; може да бъде и по-малка, въпреки че това ще изисква навеждане.
Малко пространство отгоре позволява на топлия въздух да остане в долния слой, което е благоприятно за растежа на растенията.
Размери, диаграми и чертежи на оранжерията
Една проста оранжерия, построена от PVC тръби, е много лесен дизайн, който не изисква сложна конструкция. Всичко, от което се нуждаете, е долна рамка, направена от дъски, към които са закрепени краищата на тръбите, както и самите навити тръби.

За да избегнете грешки по време на работа, първо начертайте чертеж на конструкцията. Достатъчна е проста диаграма. Основното е, че всеки елемент е изчислен и са посочени неговите размери.
Преди да започнете чертежа, трябва да определите размера на оранжерията: дължина, ширина и височина. Количеството необходим материал ще варира в зависимост от размера.
Диаграми за сглобяване на оранжерия
Как да изчислим количеството материал
Изчислението се извършва независимо въз основа на размерите на конструкцията.
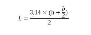
Дължината на PVC тръбите, водещи до арките на оранжерията, се изчислява лесно въз основа на диаметъра на кръга, който образуват. Обикновено обаче са известни само ширината и височината на оранжерията. Затова е по-удобно да се използва следната формула:

Къде:
L – дължината на тръбата, използвана за дъгата на арката;
h – височина на оранжерията;
b е ширината на оранжерията.
Тоест, ако ширината на оранжерията е 2,5 метра, а височината е 1,2 метра, тогава според формулата, за арката трябва да подготвим PVC тръбни секции съгласно:
(3,14x(1,2+2,5/2))/2=3,8465 м
Закръглявайки нагоре, получаваме, че секциите за арките са необходими с дължина 3 метра и 85 сантиметра.
Разстоянието между арките е 0,5 метра. Така че, ако оранжерията е с дължина 3 метра, ще ви трябват 3 x 2 + 1 = 7 парчета. За структурна твърдост, върховете на арките могат да бъдат свързани с PVC тръби. За 3-метрова оранжерия ще ви трябват 6 парчета с дължина 0,5 метра всяко. В действителност парчетата ще бъдат по-малки, защото трябва да вземете предвид дебелината на тръбите на арката и размера на фитингите, ако се използват за закрепване.
Като алтернатива, можете да вземете 3-метрово парче PVC тръба и да го закрепите към арките с помощта на винтове или тел, прокарана през пробитата пластмаса. В този случай тръбата трябва да минава по цялата дължина под арките, за да не се пречи на монтажа на фолиото. Този тип закрепване е по-лесен за самостоятелно изпълнение.
В допълнение към PVC тръбите, за да изградите сами оранжерия, ще ви трябват дъски или дървен материал. Две парчета, равни на ширината на конструкцията, и още две, равни на дължината.
В зависимост от вашия избор, ще ви трябват фитинги, лепило, винтове, пирони и тел за закрепване.
Прозрачното покритие е фолио или поликарбонатен лист. Фолиото може да бъде направено от PVC, полиетилен или е идеален дебел полипропиленов лист.
Ако използвате фолио, най-добре е да използвате подсилено фолио. То е по-скъпо от обикновеното полиетиленово фолио, но е по-издръжливо и ще издържи много сезони.
Поликарбонатът е дори по-добър – той е издръжлив, прозрачен материал, който пропуска добре слънчевата светлина и е лек. Ще издържи години и лесно се закрепва към тръбите с помощта на винтове и шайби. Използването на поликарбонат прави куполната конструкция твърда, елиминирайки необходимостта от хоризонтални тръби за свързване на арките, опростявайки монтажа.
Най-добре е конструкцията да е достатъчно дълга, така че поликарбонатният лист или фолио да не се припокрива. Дължината на покривния материал се изчислява по същата формула като дължината на PVC тръбите за арките, като се добавя припокриване от 30 см от всяка страна.
Необходими инструменти
За да работите, ще ви е необходимо:
- чук,
- отвертка или бормашина за работа с винтове;
- инструмент за рязане на PVC тръби: специални ножици, ръчна ножовка за метал, електрически прободен трион;
- Ако за свързване на PVC тръби се използват фитинги, ще ви е необходим или поялник за тръби, или лепило за пластмаса.
За завинтване на винтове е най-добре да използвате електрическа отвертка. Или такава с кабел, ако имате такава и можете да използвате удължител. Използването на отвертка е много неудобно и отнема много време. Акумулаторната отвертка ви позволява да затягате крепежните елементи с едната ръка, докато държите конструктивните елементи с другата. Това ви позволява да работите самостоятелно.
Изграждане на оранжерия – инструкции стъпка по стъпка:
Изграждането на такава сграда не е сложен въпрос, то се състои от няколко етапа.
Изработване на дървена основа
Първата стъпка е изграждането на основата. Тя се сглобява от четири дъски. Нивелирайте мястото, където планирате да инсталирате устройството. Маркирайте мястото с колчета и канап, като маркирате ъглите.

Изкопайте плитки траншеи с дълбочина 10-15 см, където ще бъдат монтирани дъските. Закрепете ги заедно в ъглите с винтове. Най-добре е да използвате дървен материал с дебелина 2-4 см, като оптималната дебелина е 4 см. За да удължите живота на дървото, третирайте го с препарат против гниене. След това можете да лакирате дъските старателно с олио, боя или лак.
Фундаментът е необходим предимно за здраво задържане на тръбите на място, действайки като тяхна основа. Освен това, конструкцията има значителна ветровита устойчивост. Силните ветрове могат да я преобърнат. За да се предотврати това, в земята се забиват дървени или метални колове, за да се закрепи фундаментът.
Монтаж на PVC тръби и методи за тяхното свързване
Краищата са закрепени към фундаментните дъски с помощта на метални скоби и винтове.

За мини оранжерия този тип тръбна опора е достатъчна. Ако обаче е дори средно голяма, арките ще трябва да бъдат свързани с хоризонтални скоби.
Има няколко варианта за свързване на PVC арки:
1) Фитингите се закрепват с поялник за тръби.
2) Фитинги, закрепени с лепило.
3) Тел. В този случай през двата пръта се пробива отвор, през него се прекарва парче отгрята стоманена тел и краищата се усукват плътно. Тази връзка е надеждна, не изисква строителни умения и е лесна за ремонт. Вместо тел може да се използва пластмасова кабелна връзка.
4) Болтова връзка. През прътите, подредени напречно, се пробива отвор, в отвора се вкарва болт и се закрепва с гайка. Шайбите са задължителни.
Първите два варианта създават постоянни връзки. За разлика от тях, болтовите или жичните връзки позволяват конструкцията да бъде разглобена. Този тип конструкция може да бъде разглобена по всяко време и преместена на друго място.
Създаване на рамка
Когато използвате PVC тръби с диаметър 20-30 мм, не са необходими специални инструменти за огъването им. Те вече са достатъчно гъвкави. Просто закрепете единия край към основата, след това хванете другия край и внимателно, без да го дърпате, го натиснете на мястото си. Тръбата ще се огъне автоматично; ръката на строител може лесно да направи това.
PVC тръбите с по-голям диаметър ще трябва да се огъват с помощта на пистолет за горещ въздух.
Не е нужно изобщо да огъвате пръчката. В този случай дъгата е направена от прави секции и е под формата на триъгълник, като горният ъгъл е оформен от фитинга.

Най-простите конструкции не изискват нищо повече от аркови тръби и пластмасово фолио. Краищата на арките се забиват директно в земята, а краищата на пластмасовото фолио се покриват с пръст. Можете да построите такава оранжерия за краставици от PVC тръби за няколко часа, но тя ще издържи само един сезон.
Покриване и фиксиране на фолиото
Когато покривате оранжерията, ще ви трябват няколко души, които да ви помогнат внимателно да изправите фолиото. Дължината на фолиото трябва да е равна на дължината на конструкцията плюс два пъти височината ѝ, с леко припокриване. Това гарантира, че цялата конструкция е покрита, не само страните, но и краищата.
Фолиото е закрепено към дървената основа с пирони или винтове. В този случай първо се полага дървена лента, а след това се заковава към основата.
Като алтернатива, краищата на фолиото могат да бъдат закрепени с пръст или тежест, вместо да се заковават. В този случай фолиото трябва да има допълнителни 30-40 см хлабина.

Удобно е да закрепите филма към арките с помощта на домашно приготвени крепежни елементи, направени от парчета гума или PVC маркуч.







Мислех, че съм го записал или копирал и поставил от някой друг, казвайки, че е диаметър 20-40 см, когато се прави дървена основа. И просто да се запълни с бетон, за да се направи бункер.
Имаше печатна грешка и ти се държиш за нея, нервните клетки не се възстановяват.